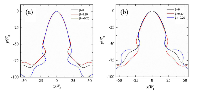
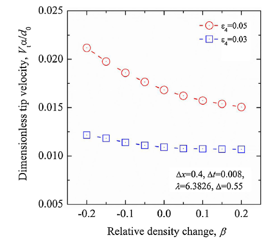
Anisotropic Stead-State 2D Diffusion Solution


Differential equations, 260 (2016), pp. Zhu , global classical solutions of 2d mhd system with only magnetic diffusion on periodic domain, j.

PPT Theory of Groundwater Flow PowerPoint Presentation ID514963
PPT Theory of Groundwater Flow PowerPoint Presentation ID514963 from www.slideserve.com

In this study, the analytical steady state solution to the anisotropic heat conduction in an orthotropic sphere is presented. In this paper, we investigate the global existence and uniqueness of strong solutions to the 2d anisotropic boussinesq system for rough initial data with striated regularity.

Anisotropic Stead-State 2D Diffusion Solution. Diffuser is a device which is usually owned by aromatherapy lovers. There are a variety of types and uses of diffusers available in accordance with the preferences of users. Make sure you are right in selecting one to ensure that the benefits of aromatherapy can be felt to the maximum.

A diffuser is a piece of equipment that converts essential oils into fragrant vapors then spread them in the air to ensure they're easier to breathe. A diffuser inside a room is able to create a comfortable and calming environment. This is why the use of a diffuser is very appropriate to calm the mind and ease stress.

While the diffuser's use has several benefits, it is not proven safe to employ it as a method for making antiseptic liquids vaporize to sterilize the air. It could cause adverse consequences, including irritation of the respiratory tract and eyes.

The use of a diffuser so far has only been beneficial in maximizing the advantages of essential oils. The scent that diffuses can stimulate the senses and influences emotions as well as your nervous system. But, it is contingent on the type of aromatherapy that is used.


Popular Posts

Apr S2000 Rear Diffuser

Art Naturals Diffuser Oils

How Do Endocytosis And Exocytosis Differ From Diffusion

Aromatherapy How To Use Essential Oils And Diffusers

Air Wick Diffuser Kit

Apparent Diffusion Coefficient Brain Mri

Are Essential Oil Diffusers Harmful To Cats

Air Wick Scented Oil Used In A Big Diffuser

Activator Inhibitor Reaction Diffusion Model

Materials With High Thermal Diffusivity